Carborugby presenta ERCUR: European Rugby Club Unofficial Ranking.
La nuova classifica delle 40 squadre europee di rugby professionistico, aggiornata settimanalmente, è ora disponibile solo su Carborugby.

Da dove arriva ERCUR
Nel 2003 la International Rugby Board (oggi World Rugby) istituì la classifica permanente delle nazionali di Rugby, chiamata IRB Ranking (oggi World Rugby Ranking). Questa classifica era basata sullo storico delle partite giocate dalle nazionali nella loro storia, e prevede un sistema di punteggio articolato che tiene in considerazione vari fattori per assegnare i punti alla squadra vincitrice, sottraendoli a quella perdente.
Dall’istituzione del World Rugby Ranking, solo sei nazionali sono riuscite a raggiungerne la cima (Nuova Zelanda, Sud Africa, Inghilterra, Galles, Francia e Irlanda), ma gli All Blacks sono la squadra che è riuscita a mantenere il primato per ben 735 settimane consecutive, dal 16 Novembre 2009 al 19 Agosto 2019. A oggi domina il Sud Africa, che vincendo il Mondiale ha ottenuto il primo posto con 94,54 punti.
Questo sistema è stato creato per le nazionali, ma noi di Carborugby abbiamo pensato di istituire una classifica basata sulla stessa logica, ma che coinvolge tutte le squadre che competono nei maggiori campionati europei.

23 novembre 2023. Fonte world rugby
Come funziona ERCUR?
L’ERCUR si basa sullo stesso principio del World Rugby Ranking, a cui si ispira, per creare una classifica aggregata e permanente delle 40 squadre che competono nei maggiori campionati europei (URC, Top14, Premiership). In sostanza, quando due squadre si affrontano in campionato o durante le partite di coppa, la perdente cede una parte dei propri punti alla vincente. L’ammontare di questi punti è stabilito da vari fattori, che cerchiamo di spiegare in modo sintetico:
- Differenza di punteggio pregresso: Il punteggio rappresenta la forma delle squadre in quel momento, di conseguenza una squadra con 60 punti sarà favorita se ne affronta una con 50 punti. Per evitare che le squadre più in alto nella classifica possano ricevere punti facili giocando partite dall’esito prevedibile, maggiore è la differenza di punteggio, minore sarà la quantità di punti ottenuta dalla squadra con più punti nel caso vincesse. Il limite per questa differenza è di 20 punti, oltre i quali la squadra col punteggio maggiore non riceverà nessun punto in caso di vittoria.
Allo stesso modo, la squadra più indietro nel ranking non perderà punti in caso di sconfitta, ma nel caso dovesse vincere, riceverebbe una grande quantità di punti, per rappresentare la straordinarietà dell’evento.
Una squadra non potrà comunque guadagnare (o perdere) più di 3 punti in una singola partita di campionato, o 2 punti se la differenza punti è di meno di 14, mentre per il pareggio è 1 punto. Per le partite più importanti questa soglia si alza (vedi punto sotto).
In caso di pareggio, la squadra col punteggio minore riceverà un piccolo ammontare di punti dalla squadra più forte. - Fattore campo: Giocare in casa, si sa, è un vantaggio non indifferente, soprattutto in campionati come l’URC in cui le squadre devono affrontare lunghe trasferte. Abbiamo quindi deciso di tenere conto di questo fattore, aumentando il valore della squadra che gioca in casa di un valore fisso pari a 3 punti. Una squadra di punteggio 57 che affronta una da 60 punti in casa, secondo questo ragionamento, offrirà una sfida alla pari.
- Dimensione della vittoria: Vincere una partita allo scadere o dominarla per tutti gli 80 minuti è una differenza importante nel decretare quale sia la forma di una squadra. Per questo motivo abbiamo introdotto un fattore che modifica i punti ottenuti dalla squadra nel caso vinca di più di 15 punti, premiando le squadre che riescono a imporsi nettamente sulle avversarie.
- Importanza della partita: Ci sono partite e Partite. Vincere la finale di Champions Cup non è come vincere una partita di campionato della regular season, e per tenere in considerazione questo fattore abbiamo applicato un moltiplicatore per le partite a eliminazione diretta delle fasi finali dei campionati e di Challenge Cup, e un moltiplicatore maggiore per le finali e le partite a eliminazione diretta di Champions Cup. Inoltre, in queste partite il cap massimo dei punti che si possono guadagnare (e perdere) è maggiore: 6 punti per i playoff di campionato e la fase a eliminazione diretta della Challenge Cup (4 in caso di punteggio ravvicinato), 9 punti per tutte le finali e le partite a eliminazione diretta della Champions Cup (6 in caso di punteggio ravvicinato).
Alcuni esempi di come funziona ERCUR
- Venerdì 17 Novembre 2023 Ulster ospita i Lions sudafricani in una partita di regular season dello URC. In base alle prestazioni precedenti, Ulster si presenta con un punteggio di 56,96, mentre i Lions sono sfavoriti con 50,06. Inoltre, si gioca in casa di Ulster, il che porta il livello dei padroni di casa a 59,96. La partita si conclude con una vittoria di misura di Ulster per 24 -17. Visto che la squadra che ha vinto ha ottenuto un piccolo scarto e che il fattore campo era dalla sua parte, Ulster ottiene soltanto 0,50 punti, e i Lions ne perdono altrettanti. I nuovi punteggi saranno quindi 57,46 e 49,56.
- Venerdì 10 Novembre 2023 le Zebre affrontano a Parma gli Sharks. I punteggi delle due squadre sono molto diversi: 24,10 per gli italiani, 51,84 per i sudafricani. Nonostante il fattore campo, le Zebre arrivano a 27,10, restando a più di 20 punti di differenza dagli Sharks. Questo significa che nel caso perdessero, a prescindere dal risultato non perderebbero punti, e i sudafricani non ne guadagnerebbero. Ma la partita va in un altro modo, e i parmigiani ottengono una vittoria per 12-10. Date le condizioni, le Zebre avrebbero dovuto guadagnare 2,24 punti, ma essendo una partita di campionato e non avendo vinto di 15 punti o più, il cap dei punti guadagnabili è 2,00. Di conseguenza, le Zebre vanno a 26,10 e gli Sharks a 49,84.
- In un ipotetico futuro, Benetton Treviso arriva in finale di Champions Cup contro lo Stade Tolousain. Treviso è sfavorito con 64,84 punti, mentre la squadra di Tolosa ne ha 70,24. Nessuna delle due squadre ha il fattore campo a favore, in quanto la finale si svolgerà al Tottenham Hotspur Stadium. La partita viene vinta da Treviso con una incredibile meta allo scadere, che fissa il punteggio a 22-17. In questo caso, l’importanza dell’evento e la vittoria della sfavorita permettono a Treviso di ottenere 3,36 punti nonostante lo scarto minimo. I nuovi punteggi saranno quindi 68,20 per Treviso e 66,88 per Tolosa.
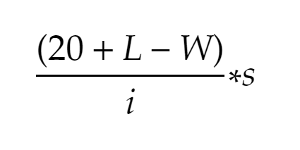
Un po’ di matematica
Vediamo ora nel dettaglio quali sono le formule che regolano la variazione di punteggio delle squadre che si affrontano.
La formula di base per calcolare i punti che vengono scambiati in una partita è la seguente:

L: Punteggio modificato della squadra perdente. Questo fattore è pari al punteggio della squadra prima della partita, +3 nel caso la squadra giochi in casa.
W: Punteggio modificato della squadra vincente. Questo fattore è pari al punteggio della squadra prima della partita, +3 nel caso la squadra giochi in casa.
i: Importanza della partita. Questo fattore è pari a 40 nel caso sia una normale partita di campionato o dei gironi di coppa, 20 nel caso sia una delle partite nella fase finale di Challenge Cup o dei playoff dei campionati, 10 nel caso sia una finale di campionato, di Challenge Cup o una partita della fase finale di Champions Cup.
s: Fattore di scarto. Se la differenza tra i punti segnati tra le due squadre è 15 o meno, sarà uguale a 1. Se la differenza è maggiore di 15 punti, sarà 1,5
Questi punti saranno ceduti dalla squadra perdente a quella vincente. Il massimo dei punti scambiabili in una partita è riassunto nella seguente tabella
| Tipo di partita | Scarto del punteggio ≤ 15 | Scarto del punteggio > 15 |
| Campionato, Gironi di Challenge, Gironi di Champions | 2 | 3 |
| Playoff di Campionato, Fasi a eliminazione di Challenge Cup | 4 | 6 |
| Finale di Campionato, Finale di Challenge Cup, Fasi a eliminazione e finale di Champions Cup | 6 | 9 |
Se invece la partita risulta in un pareggio, la formula per calcolare i punti scambiati sarà la seguente:

T: Punteggio modificato della squadra col maggiore punteggio prima della partita. Aggiungere +3 al punteggio base nel caso la squadra giochi in casa.
B: Punteggio modificato della squadra col minore punteggio prima della partita. Aggiungere +3 al punteggio base nel caso la squadra giochi in casa.
i: Importanza della partita. Vedi sopra per una spiegazione dettagliata.
Questi punti saranno ceduti dalla squadra col maggiore punteggio a quella col minore punteggio prima della partita. Il massimo dei punti scambiabili in una partita finita in pareggio è pari ai valori della Tabella 1, ma dimezzati.